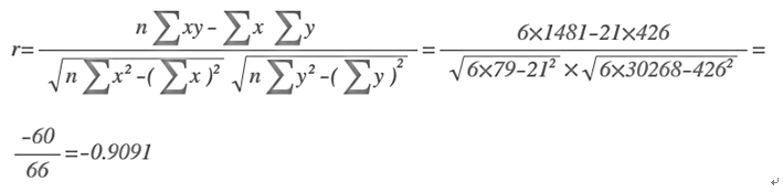
某企业某种产品与单位成本的资料如下表所示:要求:计算产品产量与单位成本的相关系数。

作者:高老师 浏览 0

某企业某种产品与单位成本的资料如下表所示:要求:计算产品产量与单位成本的相关系数。


【正确答案】:

📱 扫码体验刷题小程序

微信小程序二维码

扫一扫使用我们的微信小程序

热门题目

已复制到剪贴板