翰林刷题,免费考试真题网站!
首页
关于我们
首页
›
分类
› 详情
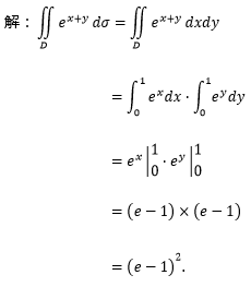
计算下列二重积分:
作者:高老师
时间:2024-07-20
浏览 0
计算下列二重积分:
【正确答案】:
📱 扫码体验刷题小程序
扫一扫使用我们的微信小程序
热门题目
增加客户价值的方法有()。
边际生产力递减规律发生作用的前提是( )
在我国,代表国家行使广告监督管理职能的机构是( )
在角色扮演中, ( )是最基本的也是最早出现的成分。
关于企业内部研究开发项目的支出,下列说法中错误的是( )。
その子供は( )そうな顔をしています。
比べると、やはりこの店の( )が安いようです。
In 1900, the energy derived from burning petroleum was only four
股票流通市场主要包括
工程进度比较方法中,主要适用于时标网络计划的方法是( )
《天工开物》的作者是()
定量预测方法包括( )。
➕
➖
📋
⬆️
已复制到剪贴板