翰林刷题,免费考试真题网站!
首页
关于我们
首页
›
分类
› 详情
作者:高老师
时间:2024-08-03
浏览 0
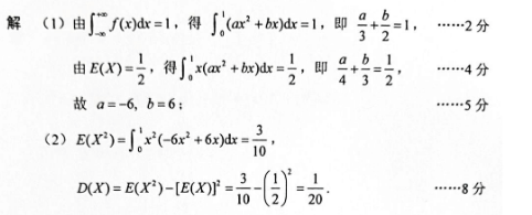
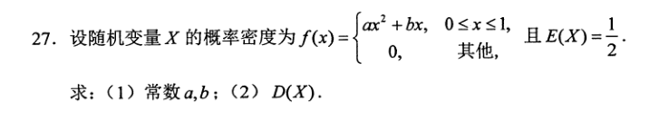
【正确答案】:
📱 扫码体验刷题小程序
扫一扫使用我们的微信小程序
热门题目
下列没有考虑投资回收以后经济效益的评价指标是
消费者运动最早产生于( )
在完全竞争市场上,厂商短期均衡条件是
appreciation的意思是()
The process by which a word which originally had a specialized m
The government put forward a new plan to______college graduates
My daughter runs faster than ( )in her class. She runs the faste
单式预算与复式预算的基本区别是( )
简要回答出口信贷的主要特点。
防水混凝土可以通过,来提高密实性和抗渗性,使其具有一定的防水能力。
简述工程量清单中的其他项目清单内容。
➕
➖
📋
⬆️
已复制到剪贴板