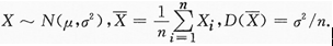
设总体X~N(μ,σ2),X1, X2…, Xn为来自总体X的样本,为样本均值,则D()=___________。

作者:高老师 浏览 0

设总体X~N(μ,σ2),X1, X2…, Xn为来自总体X的样本,为样本均值,则D()=___________。


【正确答案】:

σ2/n


📱 扫码体验刷题小程序

微信小程序二维码

扫一扫使用我们的微信小程序

热门题目

已复制到剪贴板