翰林刷题,免费考试真题网站!
首页
关于我们
首页
›
分类
› 详情
作者:高老师
时间:2024-08-03
浏览 1
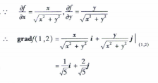
【正确答案】:
📱 扫码体验刷题小程序
扫一扫使用我们的微信小程序
热门题目
从历史上看,暴力革命是社会革命的
消费者的权利不包括( )。
弗鲁姆的期望理论认为,影响激励程度的因素主要是期望值和()
实行聘任制的范围有( )
下列关于银行存款日记账表述正确的有( )
我国的进口合同,绝大部分采用的作价方法是()
进程的队列可以通过对_____的链接来实现,有单向链表和双向链表两种链接方式。
INSERT语句有三种语法形式,不包括
There are many problems 1______ space travel. The first and grea
某生产车间随机抽取9件同型号的产品进行直径测量,得到结果是:21.54, 21.63, 21.62, 21.96, 21.42,
借款类业务的特点包括
关于JLabel组件的说法,正确的是
➕
➖
📋
⬆️
已复制到剪贴板