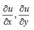
已知函数 ,其中 为可微函数,求 .

作者:高老师 浏览 0

已知函数 ,其中 为可微函数,求


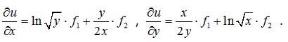
【正确答案】:
【题目解析】:同理

📱 扫码体验刷题小程序

微信小程序二维码

扫一扫使用我们的微信小程序

热门题目

已复制到剪贴板