
【正确答案】:
对非齐次线性方程组的增广矩阵做初等变换:

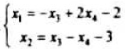
得到同解方程组

由此得到非齐次线性方程组的特解
导出组的一个基础解系为
。
从而,线性方程组的通解为
,其中
是任意常数。
【题目解析】:求已给非齐次线性方程组通解的方法是:用初等变换将其增广矩阵(A,b)化成简化行阶梯形矩阵T,则Tx=d与Ax=b同解。非齐次线性方程组的通解为Ax=b的任意一个解加上Ax=0的任意一个基础解系。据此可求出非齐次线性方程组的通解。

对非齐次线性方程组的增广矩阵做初等变换:

得到同解方程组

由此得到非齐次线性方程组的特解
导出组的一个基础解系为
。
从而,线性方程组的通解为
,其中
是任意常数。
📱 扫码体验刷题小程序
扫一扫使用我们的微信小程序