翰林刷题,免费考试真题网站!
首页
关于我们
首页
›
分类
› 详情
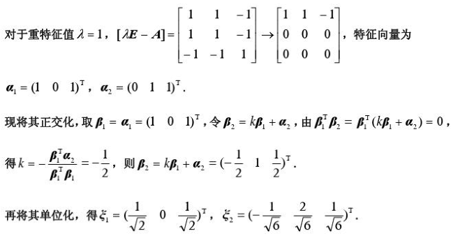
求正交变换X=PY,化二次型
作者:高老师
时间:2024-07-29
浏览 0
求正交变换X=PY,化二次型
【正确答案】:
【题目解析】:
📱 扫码体验刷题小程序
扫一扫使用我们的微信小程序
热门题目
1956年至1957年,中国共产党在探索社会主义建设道路中取得的理论成果有( )
对一定范围内所有岗位的多层次的分类、分级、分等是
人力资源所处的外部宏观环境主要有()。
麦克莱兰理论中,具有高成就需要的个体通常会表现出哪些特征?
2—7岁的儿童,处于动作发展的
In fact, when asked whether they want an economy managed by the
Passage 1The term “quality” is one of the most misused in the bu
所有价格必须以美元进行报价
简述人员销售的内容。
在选择完工产品与在产品之间费用分配方法时,应考虑的因素包括
以写作爱情诗为特色的“湖畔诗社”成员是()
徐迟新时期报告文学的代表作品是
➕
➖
📋
⬆️
已复制到剪贴板