翰林刷题,免费考试真题网站!
首页
关于我们
首页
›
分类
› 详情
作者:高老师
时间:2024-07-28
浏览 0
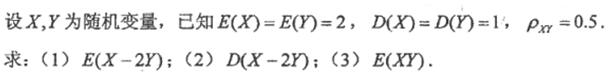
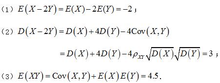
【正确答案】:
📱 扫码体验刷题小程序
扫一扫使用我们的微信小程序
热门题目
简述八一南昌起义的历史意义。
已上市公司通过配售增发新股的优势在于()。
试述家庭美德的主要内容和加强家庭美德建设的重要意义。
左拉描写工人生活的长篇小说有
建立科学的人事监察制度的作用。
等成本线
基于()协议可以通过动态配置的方法事先建立NAT映射实现NAT穿透技术。
发展中国家的英文是()
2014年,A公司向B公司股东定向增发1 000万股普通股,发行价为每股4元,并于发行当日取得B公司60%的股权,B公司购买日可
为了分析应收账款的坏账风险程度,以此确定估计的坏账金额,应设计的账表是
美国苹果公司在手机领域进行了大量的技术创新,对该公司来说适宜采取的技术战略是( )
唯一的体大思深的文学理论巨著是()作品
➕
➖
📋
⬆️
已复制到剪贴板