X的概率密度。

作者:高老师 浏览 4

设随机变量X的分布函数为
求:
X的概率密度。
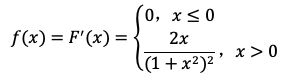
【正确答案】:



【题目解析】:f(x)=F'(x)。当x≤0时,f(x)=F'(x)=0;当x>0时,f(x)=F'(x)=[-1/(1+x²)]'=2x/(1+x²)²。

📱 扫码体验刷题小程序

微信小程序二维码

扫一扫使用我们的微信小程序

热门题目

已复制到剪贴板