翰林刷题,免费考试真题网站!
首页
关于我们
首页
›
分类
› 详情
( )
作者:高老师
时间:2024-07-29
浏览 0
( )
A、1/6
B、1/3
C、1/2
D、1
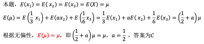
【正确答案】:C
【题目解析】:
📱 扫码体验刷题小程序
扫一扫使用我们的微信小程序
热门题目
名词解释:客户贡献度
下列函数在给定区间满足拉格朗日中值定理条件的是 ()
2008年10月14日,A公司向专利局提出一项发明专利申请,2009年4月12日该申请公布,该公司于2009年12月4日提出实质
某中文系5名同学参加智力竞赛,成绩分别为:78,79,80,81,82。则极差为()
下列各种产品价格中属于按调节方式进行分类的是( )。
All of the following poets are regarded as “Lake Poets” EXCEPT (
什么是附加关税,征收进口附加税的目的是什么?
按出票人不同,由企业、商号或个人签发的汇票是
乳腺癌病人的综合治疗方法包括
在我国根据23个省的调查,平均妊娠发生葡萄胎次数最高的省是()
( )的实施重心法认为,广告创意表现的形式和方法完全可以独立成为自己的内容,即广告策略的表现风格是广告中起决定作用的特征。
➕
➖
📋
⬆️
已复制到剪贴板