——————

作者:高老师 浏览 0

——————
【正确答案】:



【题目解析】:

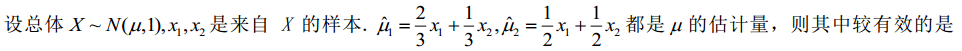
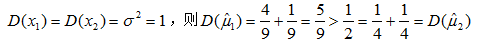
由样本值求得的估计值,方差越小,估计值接近待估参数的概率越大,则有效性越大。,故较有效的估计量是


📱 扫码体验刷题小程序

微信小程序二维码

扫一扫使用我们的微信小程序

热门题目

已复制到剪贴板